Dosiahnuť absolútne poznanie je nemožné i vzhľadom na Einsteinovu teóriu relativity – to však neznamená, že sa o to nemáme snažiť.
Vzdelávaním sa približujeme k poznaniu, i keď samotné nestačí. Naše hodnotové sústavy sú totiž v pohybe. Poznanie vychádza zo vzdelania a vzdelanie z motivácie (potrieb) a poskytnutých podmienok. Slovo POTREBA má vyjadriť, že niekto má o vzdelanie ÚPRIMNÝ záujem. Pevne verím, že väčšine čitateľov sú zákon rádioaktívneho rozpadu, resp. aktivačný zákon notoricky známe…, ale predsa, pre istotu, … čo ak by ste tento „sloh“ dali prečítať deťom či manželke.

Predstavme si, že A(t) je aspiračná úroveň poznania (v prvom priblížení – vedomostí). Je to časová premenná, pretože učenie (poznávanie) nejaký čas trvá. Ich efektivita
je vyjadrená v konštante polpremeny λ (efektivita učenia je veľmi úzko spätá s kvalitou učiteľa, prípadne školy). Ak je proces aktivácie porovnateľný s procesom
získavania vedomostí a chceme dosiahnuť čo najvyššiu úroveň, tak je dôležité klásť si nielen vysoké ciele, ale aj nájsť si kvalitnú školu a tú robia najmä kvalitní učitelia,
čiže ľudí s „vysokým λ“! Ku kvalitnému a morálnemu učiteľovi ešte potrebujeme i náročné študijné plány. A práve toto je asi najväčší súčasný problém nášho školstva od základného, cez stredné až po vysoké. Študijné plány sa pravidelne devastačne menia a prepracúvajú postupne ku katastrofe. Chýbajú základné pomôcky, či učebnice (dokonca aj tie nekvalitné). Laboratórne pokusy sa vytrácajú úplne. Fyzika, chémia, prírodné vedy sa učia väčšinou memorovaním, čo nemôže baviť ani žiakov, ani učiteľov. Odporúčam pozrieť si starý český film „Cesta do hlubin študákovi duše“ a zamerať sa na vybavenie kabinetov, či chemického laboratória na pokusy v rámci výuky.
Bohužiaľ, dnes je pre mnohých rodičov to najdôležitejšie, aby boli deti v bezpečí a dobre strážené. Riaditeľ školy má asi najväčší strach z telesnej výchovy, aby sa napríklad pri skoku cez kozu náhodou niečo nestalo. Zlomená ruka, či zadymená miestnosť pri chemickom pokuse – „mimoriadka“. Ak sa žiaci nič nenaučia – „normálka“, to sa nič až tak zlé nestalo. Rozsah výuky v matematike, fyzike, chémii, či prírodopise sa v pravidelne inovovaných študijných plánoch redukuje. Požiadavky na tvorivosť, syntézu vedomostí, praktickosť – to všetko v dobrovoľne disciplinovanom prostredí, kde žiaci priam hltajú slová svojho učiteľa (viď učiteľ Igor Hnízdo z Obecní školy) nikto nevznáša. Sú nahrádzané nezmyselnými nárastmi hodín v humanitných smeroch – nabifľované slovíčka, či texty sa predsa tak ľahko hodnotia a učitelia (nedávni žiaci) môžu používať ťaháky. Ide to na vrub nielen prefeminizovaného základného a stredného školstva, ale aj skutočnosti, že s učiteľkami komunikujú v drvivej väčšine mamičky. A tie v rámci bezmedznej lásky k svojim dietkam chcú často učiteľom pomáhať, kontrolovať ich, prípadne ich nahrádzať. Na oboch stranách (v škole i pred školou) chýbajú chlapi.
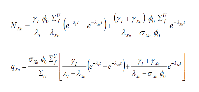
Ak by sme chceli niečo zmeniť, treba námahu, resp. zvýšiť výkonnosť vzdelávania. Zmeny sa dejú v čase a majú spätno-väzobné koeficienty. Vezmime si ako príklad asociáciu na zmeny v reaktivite pre kinetiku prevádzky jadrového reaktora. Matematické vyjadrenie koncentrácie jadier izotopu xenónu-135 s vysokým mikroskopickým prierezom absorpcie neutrónov a z toho vyplývajúca xenónová otrava sú nasledovné:
Pri grafickom znázornení vidíme časový priebeh zmeny otravy reaktora červene, zmeny v reaktivite modro. Zmeny vo výkone sú reprezentované skokovými zmenami
v neutrónovom toku – čierna farba.

Z grafických priebehov je zrejmé, že každé zníženie výkonu (neutrónového toku, ale aj námahy a náročnosti) spôsobí prechodné zvýšenie otravy reaktora a prehĺbi požiadavku na operatívnu zásobu reaktivity. Na druhej strane zvýšenie výkonu (námahy, náročnosti) prechodne vyvolá negatívny efekt. Na našom obrázku to však vidieť nie je, lebo čas úpadku a nič nerobenia už trvá desaťročia a sme na dne. Napríklad opätovné zavedenie povinnej maturity z matematiky pre všetkých (bohužiaľ len v Českej republike) je z mnohých strán kritizované. Vraj matematika deti nebaví, je málo kvalitných učiteľov, uberá to priestor pre výuku jazykov… Proste táto zmena bolí, ale je nevyhnutná, ak spoločnosť nechce mentálne degenerovať.
Kedysi sme si mysleli, že riešením je súkromné školstvo. Trpký omyl. V tejto spoločnosti, kde sa tak málo vyžaduje kvalita? Nuž naše hodnotové sústavy sú naozaj v dramatickom pohybe. Akceptáciou podvodov sa vraciame do dávnej minulosti. Aj staroveký Rím doplatil na svoju dekadenciu, rozkrádanie a podvody – ovládli ho hordy barbarov, ktorých hodnotový systém bol primitívnejší, ale platil.
Napriek všetkému si stále myslím, že rozpadový a aktivačný zákon platí a vzdelanie je veľmi potrebné. Prosím najmä všetkých zamestnávateľov (aj tých, čo si často viac cenia lojalitu ako vzdelanie), ale aj všetkých spoluobčanov – začnime vzdelanie, vedomosti a zručnosti konečne vyžadovať a oceňovať.
prof. Vladimír Slugeň, predseda SNUS


